
Text erkannt:
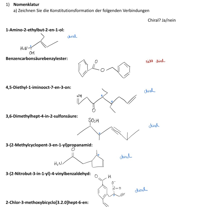
1) Nomenklatur
a) Zeichnen Sie die Konstitutionsformation der folgenden Verbindungen
Chiral? Ja/nein
1-Amino-2-ethylbut-2-en-1-ol:
chiral
Benzencarbonsäurebenzylester: nickly chiral
4,5-Diethyl-1-iminooct-7-en-3-on:
chiral
3,6-Dimethylhept-4-in-2-sulfonsäure: chiral
3-(2-Methylcyclopent-3-en-1-yl)propanamid:
chiral
3-(2-Nitrobut-3-in-1-yl)-4-vinylbenzaldehyd:
2-Chlor-3-methoxybicyclo[3.2.0]hept-6-en: chiral
Aufgabe:
Konstitutionsformen von Molekülen zeichnen.
Problem/Ansatz:
Wäre jemand so nett und würde mir das verbessern? Bei der Chiralität bin ich mir sehr unsicher und kann mir vielleicht jemand erklären was mit bicyclo[3.2.0]heptan gemeint ist? Wie sieht das aus?