0 Daumen
1 Aufruf

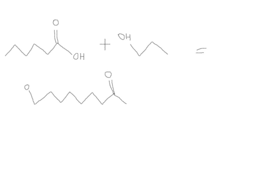
Aufgabe:

Esterbildung: Strukturformel


Problem/Ansatz:

Eine Carbonsäure und ein Alkohol werden verestert, und davon soll ich eben die strukturformel angeben. Habe ich es so richtig gemacht?

esterbildung.png

Avatar vor von

Ein anderes Problem?

Stell deine Frage

Ähnliche Fragen

Willkommen bei der Chemielounge! Stell deine Frage einfach und kostenlos

x
Made by a lovely community