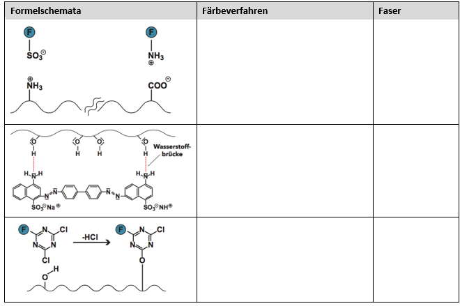
Vom Duplikat:
Titel: Chemie Färbemethoden / Färbeverfahren
Stichworte: chemie,strukturformel,farbstoff,azofarbstoffe
Hey,
gegeben sind folgende 3 Formelschemata und wir sollen dazu das Färbeverfahren und Faser herausfinden:

So lautet die Aufgabenstellung:
Bestimmen Sie für die Formelschemata im Material jeweils begründend das Färbeverfahren und den Fasertypen (Wolle/Seide; Cellulose, Kunstfaser).
Gegeben sind folgende Färbeverfahren:
▪ Substanzielle Direktfärbung
▪ Ionische Direktfärbung
▪ Entwicklungsfärbung - Azofarbstoffe
▪ Küpenfärbung
▪ Beizenfärbung
▪ Reaktivfärbung
▪ Dispersionsfärbung